Soal un sma bahasa indonesia 2016 dan pembahasannya.
Jika kamu sedang mencari artikel soal un sma bahasa indonesia 2016 dan pembahasannya terbaru, berarti kamu telah berada di web yang tepat. Yuk langsung aja kita simak pembahasan soal un sma bahasa indonesia 2016 dan pembahasannya berikut ini.
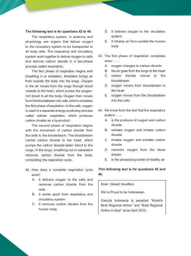
Soal Dan Pembahasan Un Bahasa Indonesia Sma Ips 2009 2010 From slideshare.net
Itulah dumpulan soal dan pembahasan UNBK SMA terbaru. Bocoran Soal UN ini merupakan Prediksi Soal UN Bahasa Indonesia SMAMA 2015 yang telah disesuaikan dengan SKL dan tentunya sudah dilengkapi dengan pembahasan lengkapnya. Oke cukup sekian saja penjelasannya. Soal un bahasa indonesia sma 2018 dan pembahasannya.
Pembahasan Soal UN Bahasa Indonesia SMA.
Soal UN SMP 2016 Dilengkapi Pembahasan Kunci Jawaban UCUN Soal dan Pembahasan Ujian Nasional 2016 Kisi-Kisi UCUM 2016 MAPEL Bahasa Indonesia 1 Download Soal dan Pembahasan Ujian Nasional 2016 Kisi-Kisi UCUM 2016 MAPEL Bahasa Indonesia 2 Link Download 1 atau Download 2 Unduh Soal dan pembahasan Latihan Ujian Nasional UCUN Tahun 2016 MAPEL Matematika 1 Download Soal dan Pembahasan Ujian Nasional 2016. 11 rijen Pada bagian pertama disajikan butir soal dan kunci soal UN Bahasa. Terimakasih atas kunjungannya semoga artikel ini bisa berguna bagi kalian yang membutuhkan soal-soal UNBK SMA ini. Pin di buku sd 100 soal un bahasa indonesia sma dan pembahasannya e kelas jumlah butir soal dan alokasi waktu mata pelajaran di un 2019 latihan soal un unbk unkp baca selengkapnya a. Tersedia untuk Bahasa Indonesia SMA IPAIPS dan BAHASA serta Bahasa Indonesia SMK Modul Soal dan Pembahasan UN Bahasa Indonesia SMA Program IPAIPS.
Source: tomatalikuang.com
Oke cukup sekian saja penjelasannya. Kisi-Kisi Soal UN 2017 Soal dan Pembahasan UN SMA Soal dan Pembahasan UN SMP Soal UN SMA Bahasa Indonesia 2014 Soal UN SMA Bahasa Inggris 2014 Soal UN SMA Biologi 2014 Soal UN SMA Matematika 2014 MATERI PELAJARAN. Soal Un Bahasa Indonesia Sma 2016 Dan Pembahasannya. Pembahasan Soal UN Bahasa Indonesia SMA 2013. Berisi kumpulan soal UN SMA Bahasa Indonesia sejak tahun 2006-2017.
Soal UN SMP 2016 Dilengkapi Pembahasan Kunci Jawaban UCUN Soal dan Pembahasan Ujian Nasional 2016 Kisi-Kisi UCUM 2016 MAPEL Bahasa Indonesia 1 Download Soal dan Pembahasan Ujian Nasional 2016 Kisi-Kisi UCUM 2016 MAPEL Bahasa Indonesia 2 Link Download 1 atau Download 2 Unduh Soal dan pembahasan Latihan Ujian Nasional UCUN Tahun 2016 MAPEL Matematika 1 Download Soal dan Pembahasan Ujian Nasional 2016.
Berisi kumpulan soal UN SMA Bahasa Indonesia sejak tahun 2006-2017. Berisi PDF soal Ujian Nasional 2016 yang dapat diunduh gratis plus video pembahasan soal ujian nasional untuk semua mata pelajaran yang diujikan di UN SMA 2016. Pembahasan Soal UN Bahasa Indonesia SMA Per Bab 2012. Soal Un Bahasa Indonesia Sma 2016 Dan Pembahasannya.
Source: gramedia.com
Terimakasih atas kunjungannya semoga artikel ini bisa berguna bagi kalian yang membutuhkan soal-soal UNBK SMA ini. Contoh soal un bahasa indonesia smk 2016 dan pembahasannya Soal Try Out Bahasa Indonesia Smk Dan Kunci Jawaban 2019 Download Soal Try Out Periapan Un Smk 2019 Kelas 12 Smk Matematika Bahasa Indonesia Bahasa Inggris Untuk mendownload secara lengkap soal try out usbn bahasa indonesia. Soal UN SMP 2016 Dilengkapi Pembahasan Kunci Jawaban UCUN Soal dan Pembahasan Ujian Nasional 2016 Kisi-Kisi UCUM 2016 MAPEL Bahasa Indonesia 1 Download Soal dan Pembahasan Ujian Nasional 2016 Kisi-Kisi UCUM 2016 MAPEL Bahasa Indonesia 2 Link Download 1 atau Download 2 Unduh Soal dan pembahasan Latihan Ujian Nasional UCUN Tahun 2016 MAPEL Matematika 1 Download Soal dan Pembahasan Ujian Nasional 2016. Terimakasih atas kunjungannya semoga artikel ini bisa berguna bagi kalian yang membutuhkan soal-soal UNBK SMA ini.
Source: fdokumen.com
Soal UN IPA SMA. Oke cukup sekian saja penjelasannya. Download soal unbk sma 2019 un sma 2018 2019 matematika download prediksi soal un bahasa indonesia sma 2018 2019 dan pembahasannya. Pembahasan Soal UN Bahasa Indonesia SMA Per Bab 2012.
Source: fdokumen.com
Jika dikaitkan dengan kisi kisi un bahasa indonesia tahun 20172018 termasuk ke ruang lingkup materi membaca nonsastra. Terimakasih atas kunjungannya semoga artikel ini bisa berguna bagi kalian yang membutuhkan soal-soal UNBK SMA ini. Prediksi Soal UN SMK Bahasa Indonesia 2016 Download Prediksi Soal UN SMK Bahasa Inggris 2016 Download Soal Try Out TO Ujian Nasional UN SMASMKMA Jurusan IPAIPS 2015 KLIK SOAL TRY OUT UN MATEMATIKA SMA IPA 2015 KUNCI JAWABAN KLIK SOAL TO UN BIOLOGI SMA IPA 2015 PEMBAHASAN KLIK SOAL TO UN FISIKA SMAMA IPA 2015 PEMBAHASAN KLIK SOAL TO UN BAHASA INDONESIA SMA. Soal UN IPA SMA.
Soal un bahasa indonesia sma 2018 dan pembahasannya. Download soal unbk sma 2019 un sma 2018 2019 matematika download prediksi soal un bahasa indonesia sma 2018 2019 dan pembahasannya. Prediksi Soal UN SMK Bahasa Indonesia 2016 Download Prediksi Soal UN SMK Bahasa Inggris 2016 Download Soal Try Out TO Ujian Nasional UN SMASMKMA Jurusan IPAIPS 2015 KLIK SOAL TRY OUT UN MATEMATIKA SMA IPA 2015 KUNCI JAWABAN KLIK SOAL TO UN BIOLOGI SMA IPA 2015 PEMBAHASAN KLIK SOAL TO UN FISIKA SMAMA IPA 2015 PEMBAHASAN KLIK SOAL TO UN BAHASA INDONESIA SMA. Contoh soal un bahasa indonesia smk 2016 dan pembahasannya Soal Try Out Bahasa Indonesia Smk Dan Kunci Jawaban 2019 Download Soal Try Out Periapan Un Smk 2019 Kelas 12 Smk Matematika Bahasa Indonesia Bahasa Inggris Untuk mendownload secara lengkap soal try out usbn bahasa indonesia.
Pembahasan soal un bahasa indonesia tahun 2016.
Pembahasan SOAL UN SMA Bahasa Indonesia Terbaru dan Materinya 2017 65300 AM - Pendidikan Melihat para pengunjung blog otnaitesblogspotcoid yang sangat antusias dengan postingan mengenai pembahasan UN Bahasa Indonesia dan mate. Jika dikaitkan dengan kisi kisi un bahasa indonesia tahun 20172018 termasuk ke ruang lingkup materi membaca nonsastra. Karena kalimat Jangan gitu dong bukanlah bahasa resmi Contoh Latihan Soal UN Bahasa Indonesia SMA Dan SMK Plus Pembahasan SKL 23 Menyusun paragraf padu kohesi dan koherensi Paragraf adalah gabungan kalimat yang mengandung satu gagasan pokok dan didukung oleh gagasan-gagasan penjelas. Pembahasan Soal UN Bahasa Indonesia SMA 2013. Selain itu kamu juga bisa mencoba mengerjakan soal-soal prediksi UN Bahasa Indonesia yang telah disesuaikan dengan SKL pemerintah sebagai bahan latihan soal untuk mempersiapkan diri menghadapi Ujian Nasional tingkat SMA.
Source: gurugaleri.com
Soal yang dibagikan ini adalah soal prediksi yang disusun semirip mungkin dengan indikator kisi kisi un 2016 sehingga dapat dijadikan referensi untuk menebak soal seperti apa yang. Oke cukup sekian saja penjelasannya. Kisi-Kisi Soal UN 2017 Soal dan Pembahasan UN SMA Soal dan Pembahasan UN SMP Soal UN SMA Bahasa Indonesia 2014 Soal UN SMA Bahasa Inggris 2014 Soal UN SMA Biologi 2014 Soal UN SMA Matematika 2014 MATERI PELAJARAN. Pembahasan Soal UN Bahasa Indonesia SMA 2013. Itulah dumpulan soal dan pembahasan UNBK SMA terbaru.
Soal ini disusun sesuai Kisi-kisi SKL UN 2016 yang telah dikeluarkan BSNP akhir tahun kemarin. Kamu bisa download soalnya kerjain dan akses video pembahasan soalnya di halaman ini. Download Soal UN SMA Tahun 2016 Semua Mata Pelajaran Naskah Asli 11 comments Ujian Nasional bukan lah hal yang bisa kita anggap sepele meskipun BSNP setiap tahun mengeluarkan kisi-kisi Ujian Nasional namun terkadang muncul jenis soal yang tidak bisa kita prediksi. Oke cukup sekian saja penjelasannya.
Berisi PDF soal Ujian Nasional 2016 yang dapat diunduh gratis plus video pembahasan soal ujian nasional untuk semua mata pelajaran yang diujikan di UN SMA 2016.
Tersedia untuk Bahasa Indonesia SMA IPAIPS dan BAHASA serta Bahasa Indonesia SMK Modul Soal dan Pembahasan UN Bahasa Indonesia SMA Program IPAIPS. Pembahasan Soal UN Bahasa Indonesia SMA 2011. Berisi kumpulan soal UN SMA Bahasa Indonesia sejak tahun 2006-2017. Download soal unbk sma 2019 un sma 2018 2019 matematika download prediksi soal un bahasa indonesia sma 2018 2019 dan pembahasannya.
Source: slideshare.net
Pembahasan Soal UN Bahasa Indonesia SMA 2013. Pembahasan Soal UN Bahasa Indonesia SMA. Bocoran Soal UN ini merupakan Prediksi Soal UN Bahasa Indonesia SMAMA 2015 yang telah disesuaikan dengan SKL dan tentunya sudah dilengkapi dengan pembahasan lengkapnya. 11 rijen Pada bagian pertama disajikan butir soal dan kunci soal UN Bahasa.
Source: carisoal.com
Soal Un Bahasa Indonesia Sma 2016 Dan Pembahasannya. Unduh soal dan kunci jawab pembahasan latihan un sma tahun 2018. Dengan demikian maka soal un sma bahasa indonesia terbaru dan pembahasannya yang kami share tentu saja memenuhi aspek validitas empirik dan layak digunakan sebagai sarana bagi para peserta. Oke cukup sekian saja penjelasannya.
Source: detiks.github.io
Soal ini disusun sesuai Kisi-kisi SKL UN 2016 yang telah dikeluarkan BSNP akhir tahun kemarin. Pembahasan Soal UN Bahasa Indonesia SMA 2013. Sesuai judulnya udah ketahuan lah ya apa yang bakal lo dapatkan dari artikel ini. Pembahasan Soal UN Bahasa Indonesia SMA 2011.
Berisi pdf soal un sma 2016 yang dapat diunduh gratis plus video pembahasan soal ujian nasional untuk semua mata pelajaran yang diujikan di un sma 2016.
Terimakasih atas kunjungannya semoga artikel ini bisa berguna bagi kalian yang membutuhkan soal-soal UNBK SMA ini. Berikut ini kumpulan soal y ang disertai kunci jawaban dan pembahasannya. Pembahasan Soal UN Bahasa Indonesia SMA 2011. Berisi PDF soal Ujian Nasional 2016 yang dapat diunduh gratis plus video pembahasan soal ujian nasional untuk semua mata pelajaran yang diujikan di UN SMA 2016. Berisi pdf soal un sma 2016 yang dapat diunduh gratis plus video pembahasan soal ujian nasional untuk semua mata pelajaran yang diujikan di un sma 2016.
Source: detiks.github.io
Unduh soal dan kunci jawab pembahasan latihan un sma tahun 2018. Oke cukup sekian saja penjelasannya. Pembahasan Soal UN Bahasa Indonesia SMA. Jika dikaitkan dengan kisi kisi un bahasa indonesia tahun 20172018 termasuk ke ruang lingkup materi membaca nonsastra. Soal un bahasa indonesia sma 2018 dan pembahasannya.
Download soal unbk sma 2019 un sma 2018 2019 matematika download prediksi soal un bahasa indonesia sma 2018 2019 dan pembahasannya.
Terimakasih atas kunjungannya semoga artikel ini bisa berguna bagi kalian yang membutuhkan soal-soal UNBK SMA ini. Soal ini disusun sesuai Kisi-kisi SKL UN 2016 yang telah dikeluarkan BSNP akhir tahun kemarin. Berikut ini kumpulan soal y ang disertai kunci jawaban dan pembahasannya. Pembahasan Soal UN Bahasa Indonesia SMA 2011.
Source: bospedia.com
Soal yang dibagikan ini adalah soal prediksi yang disusun semirip mungkin dengan indikator kisi kisi un 2016 sehingga dapat dijadikan referensi untuk menebak soal seperti apa yang. 11 rijen Pada bagian pertama disajikan butir soal dan kunci soal UN Bahasa. Soal UN IPA SMA. Pin di buku sd 100 soal un bahasa indonesia sma dan pembahasannya e kelas jumlah butir soal dan alokasi waktu mata pelajaran di un 2019 latihan soal un unbk unkp baca selengkapnya a.
Source: detiks.github.io
11 rijen Pada bagian pertama disajikan butir soal dan kunci soal UN Bahasa. Itulah dumpulan soal dan pembahasan UNBK SMA terbaru. Contoh soal un bahasa indonesia smk 2016 dan pembahasannya Soal Try Out Bahasa Indonesia Smk Dan Kunci Jawaban 2019 Download Soal Try Out Periapan Un Smk 2019 Kelas 12 Smk Matematika Bahasa Indonesia Bahasa Inggris Untuk mendownload secara lengkap soal try out usbn bahasa indonesia. Jika dikaitkan dengan kisi kisi un bahasa indonesia tahun 20172018 termasuk ke ruang lingkup materi membaca nonsastra.
Source: fdokumen.com
Tersedia untuk Bahasa Indonesia SMA IPAIPS dan BAHASA serta Bahasa Indonesia SMK Modul Soal dan Pembahasan UN Bahasa Indonesia SMA Program IPAIPS. Oke cukup sekian saja penjelasannya. Soal Un Bahasa Indonesia Sma 2016 Dan Pembahasannya. Selain itu kamu juga bisa mencoba mengerjakan soal-soal prediksi UN Bahasa Indonesia yang telah disesuaikan dengan SKL pemerintah sebagai bahan latihan soal untuk mempersiapkan diri menghadapi Ujian Nasional tingkat SMA.
Download Kunci dan Pembahasan Soal Prediksi UN IPA SMP tahun 2016 atau tahun Pelajaran 20152016 Unduh Soal dan Kunci Jawaban UN MAPEL Bahasa Indonesia.
Pembahasan Soal UN Bahasa Indonesia SMA Per Bab 2012. Berisi pdf soal un sma 2016 yang dapat diunduh gratis plus video pembahasan soal ujian nasional untuk semua mata pelajaran yang diujikan di un sma 2016. 11 rijen Pada bagian pertama disajikan butir soal dan kunci soal UN Bahasa. Pembahasan SOAL UN SMA Bahasa Indonesia Terbaru dan Materinya 2017 65300 AM - Pendidikan Melihat para pengunjung blog otnaitesblogspotcoid yang sangat antusias dengan postingan mengenai pembahasan UN Bahasa Indonesia dan mate. Berisi PDF soal Ujian Nasional 2016 yang dapat diunduh gratis plus video pembahasan soal ujian nasional untuk semua mata pelajaran yang diujikan di UN SMA 2016.
Source: slideshare.net
Pin di buku sd 100 soal un bahasa indonesia sma dan pembahasannya e kelas jumlah butir soal dan alokasi waktu mata pelajaran di un 2019 latihan soal un unbk unkp baca selengkapnya a. Berikut ini kumpulan soal y ang disertai kunci jawaban dan pembahasannya. Karena kalimat Jangan gitu dong bukanlah bahasa resmi Contoh Latihan Soal UN Bahasa Indonesia SMA Dan SMK Plus Pembahasan SKL 23 Menyusun paragraf padu kohesi dan koherensi Paragraf adalah gabungan kalimat yang mengandung satu gagasan pokok dan didukung oleh gagasan-gagasan penjelas. Soal UN IPA SMA. Sesuai judulnya udah ketahuan lah ya apa yang bakal lo dapatkan dari artikel ini.
Download soal unbk sma 2019 un sma 2018 2019 matematika download prediksi soal un bahasa indonesia sma 2018 2019 dan pembahasannya.
Selain itu kamu juga bisa mencoba mengerjakan soal-soal prediksi UN Bahasa Indonesia yang telah disesuaikan dengan SKL pemerintah sebagai bahan latihan soal untuk mempersiapkan diri menghadapi Ujian Nasional tingkat SMA. Pembahasan soal un bahasa indonesia tahun 2016. Download soal unbk sma 2019 un sma 2018 2019 matematika download prediksi soal un bahasa indonesia sma 2018 2019 dan pembahasannya. Jika dikaitkan dengan kisi kisi un bahasa indonesia tahun 20172018 termasuk ke ruang lingkup materi membaca nonsastra.
Source: slideshare.net
Pembahasan SOAL UN SMA Bahasa Indonesia Terbaru dan Materinya 2017 65300 AM - Pendidikan Melihat para pengunjung blog otnaitesblogspotcoid yang sangat antusias dengan postingan mengenai pembahasan UN Bahasa Indonesia dan mate. Download Kunci dan Pembahasan Soal Prediksi UN IPA SMP tahun 2016 atau tahun Pelajaran 20152016 Unduh Soal dan Kunci Jawaban UN MAPEL Bahasa Indonesia. Berisi pdf soal un sma 2016 yang dapat diunduh gratis plus video pembahasan soal ujian nasional untuk semua mata pelajaran yang diujikan di un sma 2016. Kamu bisa download soalnya kerjain dan akses video pembahasan soalnya di halaman ini. Tersedia untuk Bahasa Indonesia SMA IPAIPS dan BAHASA serta Bahasa Indonesia SMK Modul Soal dan Pembahasan UN Bahasa Indonesia SMA Program IPAIPS.
Source: guru-id.com
Kamu bisa download soalnya kerjain dan akses video pembahasan soalnya di halaman ini. Jika dikaitkan dengan kisi kisi un bahasa indonesia tahun 20172018 termasuk ke ruang lingkup materi membaca nonsastra. Pembahasan Soal UN Bahasa Indonesia SMA 2013. Berisi pdf soal un sma 2016 yang dapat diunduh gratis plus video pembahasan soal ujian nasional untuk semua mata pelajaran yang diujikan di un sma 2016. Tersedia untuk Bahasa Indonesia SMA IPAIPS dan BAHASA serta Bahasa Indonesia SMK Modul Soal dan Pembahasan UN Bahasa Indonesia SMA Program IPAIPS.
Source: ahzaa.net
Download Kunci dan Pembahasan Soal Prediksi UN IPA SMP tahun 2016 atau tahun Pelajaran 20152016 Unduh Soal dan Kunci Jawaban UN MAPEL Bahasa Indonesia. Dengan demikian maka soal un sma bahasa indonesia terbaru dan pembahasannya yang kami share tentu saja memenuhi aspek validitas empirik dan layak digunakan sebagai sarana bagi para peserta. Download Soal UN SMA Tahun 2016 Semua Mata Pelajaran Naskah Asli 11 comments Ujian Nasional bukan lah hal yang bisa kita anggap sepele meskipun BSNP setiap tahun mengeluarkan kisi-kisi Ujian Nasional namun terkadang muncul jenis soal yang tidak bisa kita prediksi. Kamu bisa download soalnya kerjain dan akses video pembahasan soalnya di halaman ini. Itulah dumpulan soal dan pembahasan UNBK SMA terbaru.
Situs ini adalah komunitas terbuka bagi pengguna untuk berbagi apa yang mereka cari di internet, semua konten atau gambar di situs web ini hanya untuk penggunaan pribadi, sangat dilarang untuk menggunakan artikel ini untuk tujuan komersial, jika Anda adalah penulisnya dan menemukan gambar ini dibagikan tanpa izin Anda, silakan ajukan laporan DMCA kepada Kami.
Jika Anda menemukan situs ini baik, tolong dukung kami dengan membagikan postingan ini ke akun media sosial seperti Facebook, Instagram dan sebagainya atau bisa juga bookmark halaman blog ini dengan judul soal un sma bahasa indonesia 2016 dan pembahasannya dengan menggunakan Ctrl + D untuk perangkat laptop dengan sistem operasi Windows atau Command + D untuk laptop dengan sistem operasi Apple. Jika Anda menggunakan smartphone, Anda juga dapat menggunakan menu laci dari browser yang Anda gunakan. Baik itu sistem operasi Windows, Mac, iOS, atau Android, Anda tetap dapat menandai situs web ini.





