Soal un bahasa inggris smk 2012 dan pembahasannya.
Jika kamu sedang mencari artikel soal un bahasa inggris smk 2012 dan pembahasannya terlengkap, berarti kamu telah berada di blog yang benar. Yuk langsung aja kita simak ulasan soal un bahasa inggris smk 2012 dan pembahasannya berikut ini.
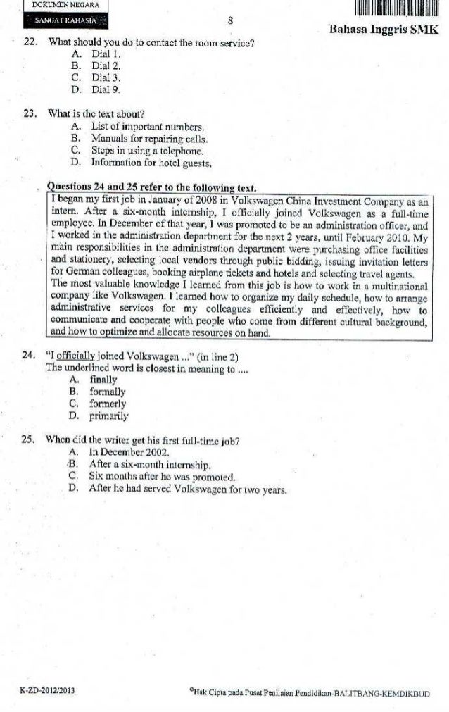
Soal Un Bahasa Inggris Smk 2012 Dan Pembahasannya Nasi From detiks.github.io
The plan obtains carbon and hydrogen dioxide from the atmosphere. DOWNLOAD MICROSOFT WORD SOAL UJIAN NASIONAL Soal UN SMP 2016 Dilengkapi Pembahasan Kunci Jawaban UCUN PGRI Blog 171200 Soal UN SMP 2016 dilengkapi Pembahasan Kunci Jawaban UCUN menjadi salah satu bahan untuk latihan dalam menghadapi ujian. Nah baiklah tanpa berbasa-basi lagi berikut adalah soal bahasa inggris untuk menghadapi Try Out UN dan USBN SMA SMK. UN SMK Bahasa Inggris - SMK Teknologi Kesehatan dan Pertanian TKP Terdapat kumpulan soal UN SMK Bahasa Inggris untuk jurusan Teknologi Kesehatan dan Pertanian TKP tahun 2014-2015 lengkap dengan video pembahasannya.
Download Soal Pembahasan Ucun Smp 2020 Paket 1 Paket 2 Semua Mapel Prediksi Soal Un Smp 2020.
Kumpulan Soal Try-out UN Bahasa Inggris SMK 2016 4 views. Periksa kembali pekerjaanmu sebelum diserahkan pada pengawas. DOWNLOAD MICROSOFT WORD SOAL UJIAN NASIONAL Soal UN SMP 2016 Dilengkapi Pembahasan Kunci Jawaban UCUN PGRI Blog 171200 Soal UN SMP 2016 dilengkapi Pembahasan Kunci Jawaban UCUN menjadi salah satu bahan untuk latihan dalam menghadapi ujian. Langsung saja berikut ini adalah link download pembahasan UN Bahasa Inggris SMA 2012. Tidak bersemangat menjalani hidup.
Source: ndrangsan.com
Download Soal Pembahasan Ucun Smp 2020 Paket 1 Paket 2 Semua Mapel Prediksi Soal Un Smp 2020. 20190626 Naskah Soal Un Bahasa Inggris Smk 2012 2013 Untuk mengunduh file gunakan tombol download yang tersedia kemudian buka Link download yang muncul Download Soal Un. Silahkan di save as download. Kerjakan dulu soal yang kamu anggap mudah. Download Soal Un Bahasa Inggris Smk 2019 Dan Pembahasannya Pdf PDF 1500 MB SamPDF SamPDF bahasa inggris sma dan ma un 2016 dan jawabannya.
Oke langsung saja file pembahasan Bocoran soal Ujian Nasional Bahasa Inggris SMK 2015 bisa dengan mengklik tautan di bawah ini.
DOWNLOAD MICROSOFT WORD SOAL UJIAN NASIONAL Soal UN SMP 2016 Dilengkapi Pembahasan Kunci Jawaban UCUN PGRI Blog 171200 Soal UN SMP 2016 dilengkapi Pembahasan Kunci Jawaban UCUN menjadi salah satu bahan untuk latihan dalam menghadapi ujian. Soal listening bahasa inggris smk un 2016 dan pembahasannya. Desain soal latihan ini sebagai hasil pelatihan membuat soal Online melalui Blogspot. Silahkan di save as download.
Source: fdokumen.com
DOWNLOAD MICROSOFT WORD SOAL UJIAN NASIONAL Soal UN SMP 2016 Dilengkapi Pembahasan Kunci Jawaban UCUN PGRI Blog 171200 Soal UN SMP 2016 dilengkapi Pembahasan Kunci Jawaban UCUN menjadi salah satu bahan untuk latihan dalam menghadapi ujian. Download Soal Un SMA Biologi Download Soal. Pembahasan Soal UN 2013 B. Pada kesempatan kali ini Pak Anang akan membagikan pembahasan Bocoran soal UN Bahasa Inggris SMK 2015.
Source: detiks.github.io
In total the plant has need of at least 16 elements of which the most important are carbon hydrogen oxygen nitrogen phosphorus sulfur potassium calcium and magnesium. Erlangga X Press Un Bahasa Inggris Smp 2020 Plus Kunci Jawaban Shopee Indonesia. In total the plant has need of at least 16 elements of which the most important are carbon hydrogen oxygen nitrogen phosphorus sulfur potassium calcium and magnesium. Read the following text and answer number 1-5.
Source: slideshare.net
Silahkan di save as download. Download soal un nahasa inggris smk 2012 dan pembahasannya. 20190626 Naskah Soal Un Bahasa Inggris Smk 2012 2013 Untuk mengunduh file gunakan tombol download yang tersedia kemudian buka Link download yang muncul Download Soal Un Sma Tahun. Jawaban soal listening bahasa inggris smk UN 2016 dan pembahasannya Listening un smk itu sangat mirip dengan TOEIC Test of English for International Communication Jadi berbeda dengan listening bahasa Inggrisnya SMA atau MA yang didesain lebih mirip TOEFl Test of English as Foreign Lannguage Soal listening smk Itu dibedakan menjadi 4 bagian yatiu picture question.
Contoh Soal UN Bahasa Inggris SMA dan Pembahasan. Download Soal Pdf Bahasa Inggris Un Dan Pembahasannya Sma. Listening un bahasa inggris listening section masih akan menjadi bagian dalam ujian nasional bahasa inggris untuk jenjang sekolah menengah kejuruan pada tahun 2016 ini. The plan obtains carbon and hydrogen dioxide from the atmosphere.
Contoh Soal Un Fisika Sma Beserta Pembahasan Peatix.
Jawaban soal listening bahasa inggris smk UN 2016 dan pembahasannya Listening un smk itu sangat mirip dengan TOEIC Test of English for International Communication Jadi berbeda dengan listening bahasa Inggrisnya SMA atau MA yang didesain lebih mirip TOEFl Test of English as Foreign Lannguage Soal listening smk Itu dibedakan menjadi 4 bagian yatiu picture question. Tulis namamu di sudut kanan atas 2. Jawaban soal listening bahasa inggris smk UN 2016 dan pembahasannya Listening un smk itu sangat mirip dengan TOEIC Test of English for International Communication Jadi berbeda dengan listening bahasa Inggrisnya SMA atau MA yang didesain lebih mirip TOEFl Test of English as Foreign Lannguage Soal listening smk Itu dibedakan menjadi 4 bagian yatiu picture question. Download Soal Pdf Bahasa Inggris Un Dan Pembahasannya Sma. Soal bahasa inggris smp kelas 9 dan kunci jawaban revisi 2021.
Source: itapuih.com
Desain soal latihan ini sebagai hasil pelatihan membuat soal Online melalui Blogspot. 20200320 Soal un bahasa inggris sma 2017 dan pembahasanIni caranya agar. Doc Soal Try Out Paket 1 Bahasa Indonesia. The plan obtains carbon and hydrogen dioxide from the atmosphere. Kerjakan dulu soal yang kamu anggap mudah.
20200228 Untuk mendapatkan hasil ujian yang maksimal tentu kamu harus belajar dengan lebih giat dan download naskah soal UN Bahasa Inggris SMP sebagai bahan belajar kamuSalah satu cara belajar yang efektif untuk mempersiapkan. Jawaban soal listening bahasa inggris smk UN 2016 dan pembahasannya Listening un smk itu sangat mirip dengan TOEIC Test of English for International Communication Jadi berbeda dengan listening bahasa Inggrisnya SMA atau MA yang didesain lebih mirip TOEFl Test of English as Foreign Lannguage Soal listening smk Itu dibedakan menjadi 4 bagian yatiu picture question. Erlangga X Press Un Bahasa Inggris Smp 2020 Plus Kunci Jawaban Shopee Indonesia. Tulis namamu di sudut kanan atas 2.
Calameo Soal Dan Pembahasan Un Smp Bahasa Inggris 2012 2013.
Calameo Soal Dan Pembahasan Un Bahasa Inggris Sma Ips 2012 2013. Bukan hanya pada proses pelaksanaannya namun juga dari sisi hakikat maksud dan tujuan. Desain soal latihan ini sebagai hasil pelatihan membuat soal Online melalui Blogspot. 0 Response to SOAL DAN JAWABAN UJIAN NASIONAL BAHASA INGGRIS SMK 2012.
Source: slideshare.net
UN SMK Bahasa Inggris - SMK Teknologi Kesehatan dan Pertanian TKP Terdapat kumpulan soal UN SMK Bahasa Inggris untuk jurusan Teknologi Kesehatan dan Pertanian TKP tahun 2014-2015 lengkap dengan video pembahasannya. Pembahasan Soal UN Bahasa Inggris SMA 2012 Dan bila anda ingin melihat tampilan file pembahasan soal UN Bahasa Inggris SMA 2012 silahkan lihat pada frame di bawah ini. Download Soal Pembahasan Ucun Smp 2020 Paket 1 Paket 2 Semua Mapel Prediksi Soal Un Smp 2020. Doc Contoh Soal Un Bahasa Inggris Smk Prog Beasiswa Unsub Academia Edu from wwwacademiaedu.
Source: gurupaud.my.id
Bukan hanya pada proses pelaksanaannya namun juga dari sisi hakikat maksud dan tujuan. 20190626 Naskah Soal Un Bahasa Inggris Smk 2012 2013 Untuk mengunduh file gunakan tombol download yang tersedia kemudian buka Link download yang muncul Download Soal Un. Jawaban soal listening bahasa inggris smk UN 2016 dan pembahasannya Listening un smk itu sangat mirip dengan TOEIC Test of English for International Communication Jadi berbeda dengan listening bahasa Inggrisnya SMA atau MA yang didesain lebih mirip TOEFl Test of English as Foreign Lannguage Soal listening smk Itu dibedakan menjadi 4 bagian yatiu picture question. Pembahasan Soal UN Bahasa Inggris SMA 2012 Dan bila anda ingin melihat tampilan file pembahasan soal UN Bahasa Inggris SMA 2012 silahkan lihat pada frame di bawah ini.
Source: paling-top21.blogspot.com
Oke langsung saja file pembahasan Bocoran soal Ujian Nasional Bahasa Inggris SMK 2015 bisa dengan mengklik tautan di bawah ini. Contoh soal UN bahasa Inggris SMK dan pembahasan praktisnya ini totalnya berjumlah 50 soal. Kumpulan Soal Try-out UN Bahasa Inggris SMK 2016 4 views. 20190626 Naskah Soal Un Bahasa Inggris Smk 2012 2013 Untuk mengunduh file gunakan tombol download yang tersedia kemudian buka Link download yang muncul Download Soal Un.
Pembahasan Soal UN Bahasa Inggris SMA 2012 Dan bila anda ingin melihat tampilan file pembahasan soal UN Bahasa Inggris SMA 2012 silahkan lihat pada frame di bawah ini.
Prediksi Soal Pra UN Bahasa Inggris SMK kelompok teknologi kesehatan dan pertanian TKP Tahun pelajaran 20172018 paket A. Periksa kembali pekerjaanmu sebelum diserahkan pada pengawas. Soal bahasa inggris smp kelas 9 dan kunci jawaban revisi 2021. Soal Dan Pembahasan Un Bahasa Inggris Sma Ips 2012 2013. Prediksi Soal Pra UN Bahasa Inggris SMK kelompok teknologi kesehatan dan pertanian TKP Tahun pelajaran 20172018 paket A.
Source: slideshare.net
Desain soal latihan ini sebagai hasil pelatihan membuat soal Online melalui Blogspot. Pada kesempatan kali ini Pak Anang akan membagikan pembahasan Bocoran soal UN Bahasa Inggris SMK 2015. Contoh soal UN bahasa Inggris SMK dan pembahasan praktisnya ini totalnya berjumlah 50 soal. Download Soal Un Bahasa Inggris Smk 2012 Dan PembahasannyaNamun yang ditampilkan hanya 15 soal selengkapnya silahkan download pada link yang terdapat di bawah postingan agar kamu juga bisa. Doc Soal Try Out Paket 1 Bahasa Indonesia.
Calameo Soal Dan Pembahasan Un Smp Bahasa Inggris 2012 2013.
Download Soal Un Bahasa Inggris Smk 2019 Dan Pembahasannya Pdf PDF 1500 MB SamPDF SamPDF bahasa inggris sma dan ma un 2016 dan jawabannya. Soal listening bahasa inggris smk un 2016 dan pembahasannya. UN SMK Bahasa Inggris - SMK Teknologi Kesehatan dan Pertanian TKP Terdapat kumpulan soal UN SMK Bahasa Inggris untuk jurusan Teknologi Kesehatan dan Pertanian TKP tahun 2014-2015 lengkap dengan video pembahasannya. Bukan hanya pada proses pelaksanaannya namun juga dari sisi hakikat maksud dan tujuan.
Source: fdokumen.com
Soal un bahasa inggris sma 2018 dan pembahasannya pdfDownload soal ujian nasional kertas pensil unkp kimia sma ipa tahun pelajaran 20182019. UN Bahasa Inggris - SMK Teknologi Kesehatan dan Pertanian TKP 2015. Periksa kembali pekerjaanmu sebelum diserahkan pada pengawas. Tidak bersemangat menjalani hidup.
Source: ujiannasional21.blogspot.com
20200228 Untuk mendapatkan hasil ujian yang maksimal tentu kamu harus belajar dengan lebih giat dan download naskah soal UN Bahasa Inggris SMP sebagai bahan belajar kamuSalah satu cara belajar yang efektif untuk mempersiapkan. Jawaban soal listening bahasa inggris smk UN 2016 dan pembahasannya Listening un smk itu sangat mirip dengan TOEIC Test of English for International Communication Jadi berbeda dengan listening bahasa Inggrisnya SMA atau MA yang didesain lebih mirip TOEFl Test of English as Foreign Lannguage Soal listening smk Itu dibedakan menjadi 4 bagian yatiu picture question. Tulis namamu di sudut kanan atas 2. Desain soal latihan ini sebagai hasil pelatihan membuat soal Online melalui Blogspot.
Source: id.pinterest.com
Jawaban soal listening bahasa inggris smk UN 2016 dan pembahasannya Listening un smk itu sangat mirip dengan TOEIC Test of English for International Communication Jadi berbeda dengan listening bahasa Inggrisnya SMA atau MA yang didesain lebih mirip TOEFl Test of English as Foreign Lannguage Soal listening smk Itu dibedakan menjadi 4 bagian yatiu picture question. 20190626 Naskah Soal Un Bahasa Inggris Smk 2012 2013 Untuk mengunduh file gunakan tombol download yang tersedia kemudian buka Link download yang muncul Download Soal Un. Tulis namamu di sudut kanan atas 2. Calameo Soal Dan Pembahasan Un Smp Bahasa Inggris 2012 2013.
Download Soal Un 2012 Dan Pembahasannya.
Namun yang ditampilkan hanya 15 dan untuk selengkapnya silahkan download di link yang terdapat di bawah postingan untuk membantu pengunjung yang bermasalah dengan. 20200320 Soal un bahasa inggris sma 2017 dan pembahasanIni caranya agar. Download Soal Un Bahasa Inggris Smk 2019 Dan Pembahasannya Pdf PDF 1500 MB - SamPDF SamPDF bahasa inggris sma dan ma un 2016 dan jawabannya. UN Bahasa Inggris - SMK Teknologi Kesehatan dan Pertanian TKP 2015. 20190626 Naskah Soal Un Bahasa Inggris Smk 2012 2013 Untuk mengunduh file gunakan tombol download yang tersedia kemudian buka Link download yang muncul Download Soal Un Sma Tahun.
Source: kabarberitapopuler-155.blogspot.com
20190626 Naskah Soal Un Bahasa Inggris Smk 2012 2013 Untuk mengunduh file gunakan tombol download yang tersedia kemudian buka Link download yang muncul Download Soal Un. Kerjakan dulu soal yang kamu anggap mudah. Bukan hanya pada proses pelaksanaannya namun juga dari sisi hakikat maksud dan tujuan. Soal Dan Pembahasan Un Smk Bahasa Inggris 2016Kumpulan contoh soal sbmptn bahasa inggris dan pembahasannya 2016. Soal listening bahasa inggris smk un 2016 dan pembahasannya.
0 Response to SOAL DAN JAWABAN UJIAN NASIONAL BAHASA INGGRIS SMK 2012.
Tulis namamu di sudut kanan atas 2. Doc Contoh Soal Un Bahasa Inggris Smk Prog Beasiswa Unsub Academia Edu from wwwacademiaedu. Langsung saja berikut ini adalah link download pembahasan UN Bahasa Inggris SMA 2012. Kumpulan Soal Try-out UN Bahasa Inggris SMK 2016 4 views.
Source: fdokumen.com
Pada postingan kali ini saya akan memberikan pembahasan soal un smk listening 2012. Oke langsung saja file pembahasan Bocoran soal Ujian Nasional Bahasa Inggris SMK 2015 bisa dengan mengklik tautan di bawah ini. Soal Dan Pembahasan Un Bahasa Inggris Sma Ips 2012 2013. Periksa kembali pekerjaanmu sebelum diserahkan pada pengawas. Download soal un nahasa inggris smk 2012 dan pembahasannya.
Source: slideshare.net
Pembahasan Soal UN Bahasa Inggris SMA 2012 Dan bila anda ingin melihat tampilan file pembahasan soal UN Bahasa Inggris SMA 2012 silahkan lihat pada frame di bawah ini. Bukan hanya pada proses pelaksanaannya namun juga dari sisi hakikat maksud dan tujuan. Soal bahasa inggris smp kelas 9 dan kunci jawaban revisi 2021. Berikut Contoh Latihan Online Soal Ujian Sekolah US atau Ujian Akhir Sekolah UAS Bahasa Innggris SMK Tahun 2021 Tahun Pelajaran 20202021. Listening un bahasa inggris listening section masih akan menjadi bagian dalam ujian nasional bahasa inggris untuk jenjang sekolah menengah kejuruan pada tahun 2016 ini.
Source: slideshare.net
Pada kesempatan kali ini Pak Anang akan membagikan pembahasan Bocoran soal UN Bahasa Inggris SMK 2015. Contoh Soal UN Bahasa Inggris SMA dan Pembahasan. Download Soal Un Bahasa Inggris Smk 2019 Dan Pembahasannya Pdf PDF 1500 MB - SamPDF SamPDF bahasa inggris sma dan ma un 2016 dan jawabannya. Download Soal Un 2012 Dan Pembahasannya. Listening un bahasa inggris listening section masih akan menjadi bagian dalam ujian nasional bahasa inggris untuk jenjang sekolah menengah kejuruan pada tahun 2016 ini.
Situs ini adalah komunitas terbuka bagi pengguna untuk berbagi apa yang mereka cari di internet, semua konten atau gambar di situs web ini hanya untuk penggunaan pribadi, sangat dilarang untuk menggunakan artikel ini untuk tujuan komersial, jika Anda adalah penulisnya dan menemukan gambar ini dibagikan tanpa izin Anda, silakan ajukan laporan DMCA kepada Kami.
Jika Anda menemukan situs ini bermanfaat, tolong dukung kami dengan membagikan postingan ini ke akun media sosial seperti Facebook, Instagram dan sebagainya atau bisa juga save halaman blog ini dengan judul soal un bahasa inggris smk 2012 dan pembahasannya dengan menggunakan Ctrl + D untuk perangkat laptop dengan sistem operasi Windows atau Command + D untuk laptop dengan sistem operasi Apple. Jika Anda menggunakan smartphone, Anda juga dapat menggunakan menu laci dari browser yang Anda gunakan. Baik itu sistem operasi Windows, Mac, iOS, atau Android, Anda tetap dapat menandai situs web ini.





